技術文章
更新時間:2024-11-01
點擊次數:1140
粗脂肪是食物中重要的營養成分之一,是維持人體正常生理功能的關鍵營養素。
測定食品中粗脂肪含量是保障食品質量和公眾健康的關鍵步驟。消費者通過了解粗脂肪含量,可以更好地選擇適合自己的食物,從而達到合理膳食、維持健康的目的。
粗脂肪的測定也有助于食品生產商控制產品質量,確保配方科學合理,符合健康標準。
本方案參照《GB 5009.6-2016 食品安全國家標準 食品中脂肪的測定》,采用索氏抽提法對營養餐樣品中的粗脂肪含量進行測定。
實驗方案

SOX606索氏提取儀
儀器與試劑
01
1、儀器
SOX606索氏提取儀,分析天平等。
2、試劑
石油醚(沸程30%~60%)、無水硫酸鈉(分析純)。
實驗方法
02
1、儀器準備
請參照說明書,清洗溶劑杯,干燥并稱重記為m0。在干凈的濾紙架中放入疊好的濾紙內筒。
2、樣品制備
本方案測試4種營養餐樣品。首先在濾紙筒中放入約10 g的無水硫酸鈉,然后精確稱取混勻后的樣品6 g(精確至0.1 mg),記為m。將稱好的樣品轉移至濾紙筒中。
3、將盛有樣品的濾紙筒置于儀器萃取室內,向溶劑杯中加入石油醚,儀器參數設置如下:
?

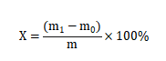
4、結果計算

X:樣品的粗脂肪含量,%(g/100g);
m1:接收杯與粗脂肪的總質量,g;
m0:接收杯的質量,g;
m:樣品的稱樣量,g。
結果與討論
03
經過抽提、恒重,得到營養餐樣品的測試結果如下表:

結果顯示,4種營養餐的粗脂肪含量分別為1.441%、4.152%、1.525%、1.794%,四個樣品的精密度均滿足《GB 5009.6-2016 食品安全國家標準 食品中脂肪的測定》的精密度要求,即兩個平行的絕對差值不超過平均值的10%。
注意事項
04
無水硫酸鈉作為脫水劑,可吸收樣品中的水分,確保脂肪的有效溶出。相比于先烘干再進行抽提具有更高的效率。
參考
05
[1] GB 5009.6-2016 食品安全國家標準 食品中脂肪的測定 [s]
聯系電話:400-618-6188
企業郵箱:china@hanon.cc
公司地址:山東省濟南市高新區經十路7000號漢峪金谷A3地塊1號樓第四層
微信聯系
Copyright © 2025海能基石技術有限公司 All Rights Reserved
備案號:滬ICP備2025136820號-8
技術支持:化工儀器網
管理登錄 sitemap.xml